文章导读
手性材料不仅在光学领域引人入胜,其在有机半导体中的电荷传输特性同样充满未知。京都大学 Takuji HatakeyamaMasaharu Nakamura 团队合成了一种新型氮硼杂[6]螺烯,并发现了一个惊人的现象:该材料的外消旋体表现为 p 型半导体,而其单一对映体则“反转”为 n 型半导体。这种由手性同质性(homochirality)诱导的载流子极性反转,为理解分子堆积与电子性质之间的关系提供了极具启发性的范例。
Table of Contents

💡 核心创新点

  • 合成策略创新:利用串联硼-弗里德尔-克拉夫特(Bora-Friedel-Crafts)反应,高效构建了具有扩充 $\pi$ 共轭体系的氮硼杂[6]螺烯。
  • 载流子极性反转:首次在同一种分子的不同手性聚集态中观察到极性反转——外消旋体(Racemate)优选传输空穴(p型),而单一对映体(Enantiomer)优选传输电子(n型)。
  • 堆积机理揭示:通过晶体结构分析与理论计算,证实这种差异源于外消旋体与单一对映体在晶体中截然不同的分子堆积模式及相应的电子耦合路径。

🔬 图文深度解析

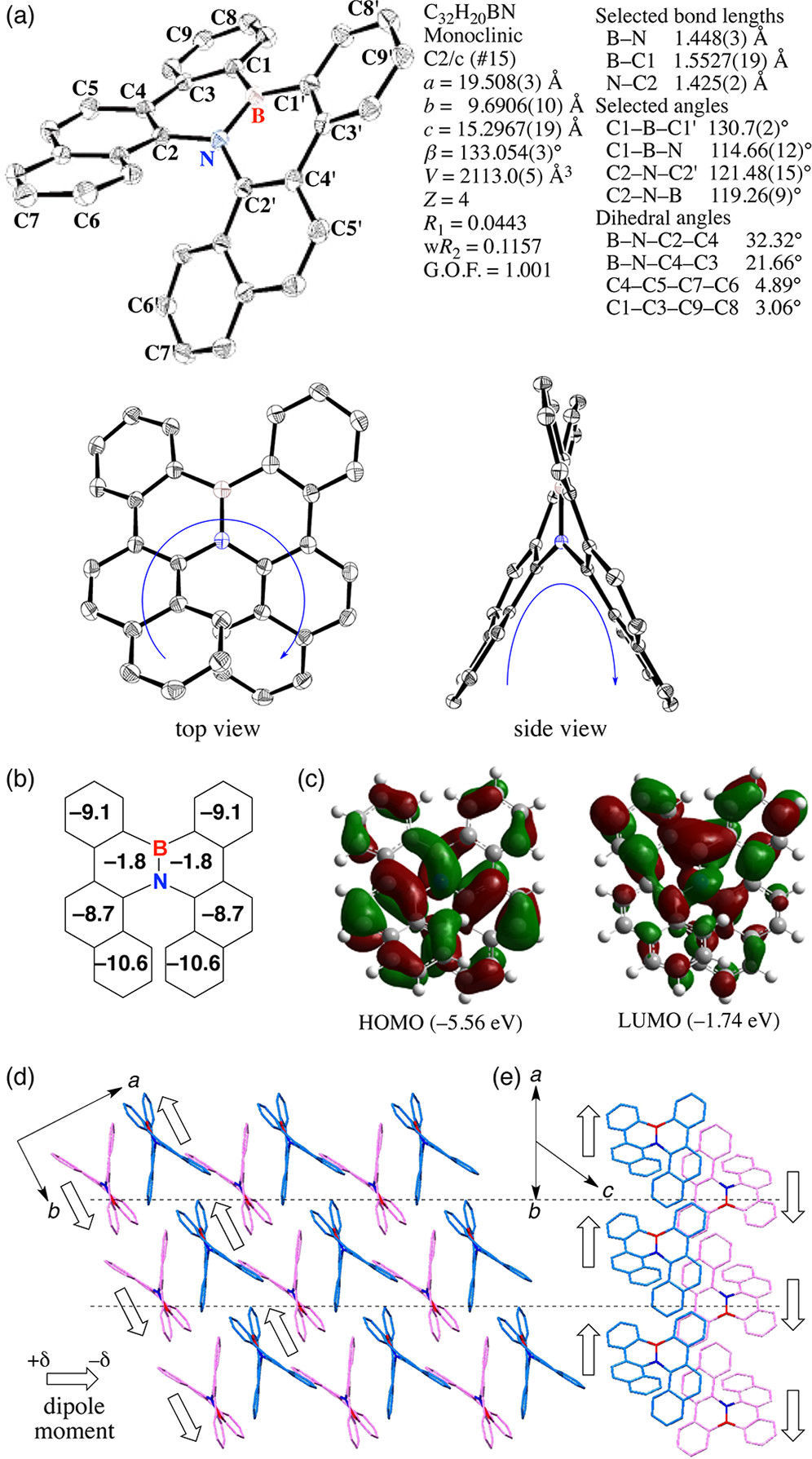
Scheme 1:氮硼杂[6]螺烯的高效合成

氮硼杂[6]螺烯的合成路线
Scheme 1:氮硼杂[6]螺烯的合成路线
研究团队从易得的 1-溴-2-苯基萘出发,经偶联得到二芳基胺前体。随后,关键的串联 Bora-Friedel-Crafts 反应在 $\text{BCl}_3$ 和路易斯酸催化下进行,一步构建了含有 B-N 键的螺旋骨架。该方法不仅产率可观,而且成功引入了硼氮单元,赋予了分子独特的光电性质。

这一合成策略的精妙之处在于利用硼原子的亲电性引发分子内环化,从而在构建螺旋结构的同时完成了杂原子的掺杂。

Figure 1:手性主导的晶体堆积差异

外消旋体与单一对映体的晶体结构对比
Figure 1:外消旋体与单一对映体的晶体结构对比
X 射线单晶衍射揭示了两种截然不同的堆积模式:(a) 外消旋体(Racemate)中,P型与M型分子交替排列,形成面对面的层状结构,这种异质手性排列有利于分子间的 $\pi$-$\pi$ 相互作用。(b) 单一对映体(Enantiomer)中,分子通过“头对尾”的方式形成柱状堆积,手性同质性导致分子间重叠模式发生显著变化。

这种堆积模式的差异是导致宏观光电性能分歧的结构基础,证明了手性不仅仅是分子的几何属性,更是调控聚集态结构的强力工具。

Figure 2 & 3:载流子迁移率与理论机制

TOF 迁移率测试与电子耦合计算
Figure 2 & 3:TOF 迁移率测试与电子耦合计算
飞行时间(TOF)测试结果(Fig. 2)显示,外消旋体薄膜表现出明显的空穴传输特性(p型),而单一对映体薄膜则转变为电子传输主导(n型)。理论计算(Fig. 3)进一步证实,在外消旋体中,HOMO 能级之间的电子耦合更强,有利于空穴跃迁;而在单一对映体的柱状堆积中,LUMO 能级之间的重叠更为有效,从而促进了电子传输。

这一发现打破了人们对单一分子固有载流子类型的认知,强调了“超分子工程”在有机半导体器件优化中的核心地位。

⚗️ 总结与展望

Hatakeyama 和 Nakamura 等人的这项工作是有机手性电子学领域的一个里程碑。它不仅开发了一种高效合成氮硼杂螺烯的方法,更重要的是,它提供了关于分子手性如何通过影响晶体堆积进而决定半导体极性(p型 vs n型)的清晰物理图像。这一“载流子反转”现象为设计新型手性光电器件、自旋电子学器件以及理解生物体系中的电荷传输提供了全新的思路。